מבוא

בשיעור זה נעמיק בנושא מבנה חומצות אמינו, הקשר הפפטידי ותכונותיו המיוחדות, זוויות הקונפורמציה φ ו־ψ, גרף Ramachandran, וכן נדון בחשיבות של שמירה אבולוציונית ו־sequence alignment.


ציסטאין (Cysteine) וציסטין (Cystine)

הבחנה בין שתי הצורות

  • ציסטאין (Cys, C): חומצת אמינו במצב המחוזר שלה, עם קבוצת $\ce{-SH}$ (thiol) בשרשרת הצד (R).
  • ציסטין (Cystine): שתי חומצות ציסטאין במצב מחומצן, המחוברות באמצעות קשר דיסולפידי ($\ce{S-S}$).

ניתן לרכוש את שתי הצורות בנפרד (למשל מחברת Sigma).

Cysteine and Cystine

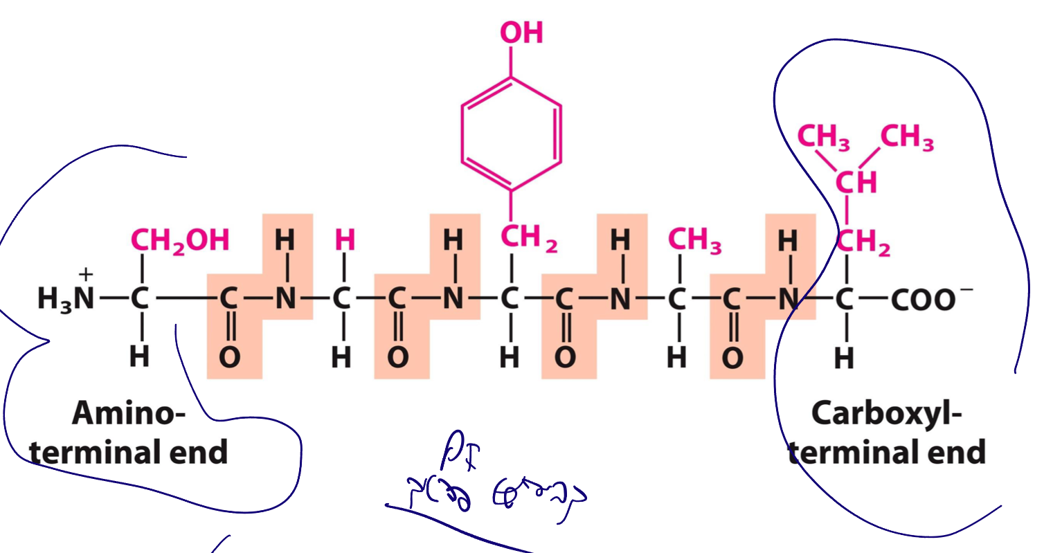
הקשר הפפטידי (Peptide Bond)

מאפייני הקשר

הקשר הפפטידי הוא קשר כיווני וייחודי המחבר שתי חומצות אמינו:

  • כיוון: תמיד מ־N-terminus (קצה אמיני) ל־C-terminus (קצה קרבוקסילי).
  • היווצרות: דרך תקיפת הקצה הקרבוקסילי ($\ce{-COOH}$) את הקצה האמיני ($\ce{-NH2}$) של חומצת האמינו הבאה.
  • תהליך קונדנסציה: יוצרת מולקולת $\ce{H2O}$ (מים).
A peptide bond

מבנה הפפטיד

בפפטיד יש רק:

  • קצה אמיני אחד (N-terminus)
  • קצה קרבוקסילי אחד (C-terminus)

חומצות האמינו הפנימיות אינן תורמות לפעילות חומצה/בסיס מהקצוות האמיני והקרבוקסילי שלהן, מכיוון שהם קשורים בקשר פפטידי.

peptide

בניגוד לאמור בתרגול, בעת חישוב pI כן יש להתחשב בשיירים שיכולים להיות טעונים לארוך השרשרת הפפטידית (למשל: Asp, Glu, Lys, Arg, His).

שלד פוליפפטידי (Polypeptide Backbone)

הסדר הקבוע של האטומים בשלד:

\[\ce{N-terminus} \rightarrow \ce{C_\alpha} \rightarrow \ce{C} (carbonyl) \rightarrow \ce{N} \rightarrow \ce{C_\alpha} \rightarrow \dots\]

כאשר:

  • $\ce{C_\alpha}$ = פחמן אלפא (כיראלי, עליו מחוברת קבוצת R)
  • $\ce{C}$ (carbonyl) = פחמן קרבונילי

רזוננס בקשר הפפטידי

תכונות מיוחדות

הקשר הפפטידי אינו קשר בודד רגיל – יש לו תכונות של קשר כפול חלקי בגלל רזוננס:

  • הקרבוניל ($\ce{C=O}$) והחנקן ($\ce{N-H}$) יוצרים מצב רזוננס.
  • ענן האלקטרונים (אלקטרוני π) זז בין הקרבוניל לאמין.
  • התוצאה: הקשר הפפטידי הוא מישורי (planar) ואינו יכול להסתובב סביב ציר עצמו.
Resonance in the peptide bond

אורך הקשר

  • קשר כפול $\ce{C=N}$: ~1.27 Å
  • קשר בודד $\ce{C-N}$: ~1.45 Å
  • קשר פפטידי: ~1.32 Å (בין השניים)
  • קשר בודד בין פחמנים ($\ce{C-C}$): ~1.53 Å

ייצוג גרפי

הקשר הפפטידי מיוצג כמלבן/פלטה שפינותיו הן:

  1. החמצן הקרבונילי ($\ce{O}$) של חומצה אחת
  2. המימן ($\ce{H}$) של קבוצת האמין של חומצה שנייה 3-4. שני פחמני ה־α של שתי החומצות האמינו
The polypeptide is made out of series of planes, where the alpha carbons link them

זוויות קונפורמציה: φ (Phi) ו־ψ (Psi)

הגדרות

מכיוון שהקשר הפפטידי מישורי, הגמישות של שרשרת הפפטיד תלויה בסיבובים סביב:

  • זווית φ (Phi): זווית הסיבוב סביב הקשר $\ce{N - C_\alpha}$
  • זווית ψ (Psi): זווית הסיבוב סביב הקשר $\ce{C_\alpha - C}$ (carbonyl)

נקודת האפס

  • φ = 0°, ψ = 0°: מצב תיאורטי שבו שני מישורי קשר פפטידי חופפים (לא מתקיים בפועל).
  • הגבלות סטריות: שרשראות הצד (R) יכולות ליצור הפרעות סטריות, ולכן לא כל הזוויות אפשריות.
zero

גרף Ramachandran

מהו?

גרף Ramachandran הוא מפה דו־ממדית המציגה את הזוויות φ ו־ψ האפשריות עבור חומצות אמינו בחלבונים.

  • ציר X: זווית φ
  • ציר Y: זווית ψ
Ramachandran Plot

תוצאות

  • רוב חומצות האמינו מתרכזות באזורים ספציפיים על הגרף.
  • אזורים אלה מתאימים למבנים שניוניים מסוימים:
    • α-helix (סליל אלפא)
    • β-sheet / β-strand (יריעה בטא)

חומצות אמינו מיוחדות

  • גליצין (Gly, G): בעלת גמישות מרבית (R = H), יכולה לקבל כמעט כל זווית.
  • פרולין (Pro, P): קשיחה מאוד (R סגור על ה־N-terminus), מוגבלת בזוויות אך יכולה להתקיים בקונפורמציות cis וגם trans (50-50).

שמירה אבולוציונית (Conservation) ו־Sequence Alignment

חשיבות הרצף

  • מבנה ראשוני (Primary Structure): רצף חומצות האמינו קובע את המבנה והפונקציה של החלבון.
  • חלבונים בעלי פונקציה דומה: יהיו בעלי רצף דומה (הומולוגיה).
  • חלבונים פונדמנטליים: רצפים שמורים מאוד לאורך האבולוציה (לעיתים >80% זהות).
Primary struct

סוגי החלפות ברצף

  1. החלפה קונסרבטיבית (Conservative substitution): החלפת חומצה אמינו בחומצה בעלת תכונות דומות (למשל: Leu ↔ Ile, שתיהן הידרופוביות).

  2. החלפה לא־קונסרבטיבית (Non-conservative substitution): החלפה שמשנה את תכונות החומצה (למשל: חומצה הידרופובית ↔ חומצה טעונה).

Sequence Alignment

  • מטרה: להשוות רצפים ממינים שונים ולזהות אזורים שמורים.
  • Gaps: מוכנסים כדי למקסם התאמה, אך כרוכים ב־penalty score.
  • אזורים שמורים נמצאים בדרך כלל ב:
    • אתרים פעילים (active sites) של אנזימים
    • אתרי קישור לליגנדים
    • אתרי אינטראקציה עם חלבונים אחרים
    • חומצות אמינו ממוטבות פוסט-טרנסלציוניות (phosphorylation, glycosylation, methylation, acetylation)

Signature Sequences

  • רצפים ייחודיים לקבוצות אורגניזמים ספציפיות (למשל: חיידקים, ארכיאה, יוקריוטים).
  • שימושיים לזיהוי מקור ביולוגי של רצף לא ידוע.

היררכיה מבנית של חלבונים

רמות המבנה

  1. מבנה ראשוני (Primary Structure): רצף חומצות האמינו.
  2. מבנה שניוני (Secondary Structure): דפוסים מבניים חוזרים (α-helix, β-sheet).
  3. מבנה שלישוני (Tertiary Structure): המבנה התלת־ממדי הכולל של שרשרת פוליפפטידית אחת, כולל כל הקשרים בין שרשראות הצד.
  4. מבנה רביעוני (Quaternary Structure): קומפלקס של מספר שרשראות פוליפפטידיות (למשל: המוגלובין – 2α + 2β).

קשרים במבנה שלישוני

  • קשרי מימן
  • אינטראקציות הידרופוביות
  • קשרי דיסולפיד ($\ce{S-S}$)
  • גשרי מלח (אלקטרוסטטיים)
  • כוחות ואן-דר-ואלס

סיכום

  • הקשר הפפטידי הוא מישורי עקב רזוננס ובעל תכונות של קשר כפול חלקי.
  • זוויות φ ו־ψ מוגבלות על ידי הפרעות סטריות, כפי שמתואר בגרף Ramachandran.
  • רצף חומצות האמינו (מבנה ראשוני) קובע את המבנה והפונקציה של החלבון.
  • שמירה אבולוציונית ו־sequence alignment הם כלים חשובים להבנת פונקציה, זיהוי אתרים פעילים, ומעקב אחר התפתחות אבולוציונית.
  • המידע הרצפי מאפשר תכנון ניסויים (למשל: מוטגנזה ממוקדת) ושימוש במודלים אורגניזמיים פשוטים יותר (שמרים, חיידקים).
דור פסקל