מבוא - למה גליקוגן?

הצורך במאגרי גלוקוז

יש צורך קריטי לשמור על רמות קבועות של גלוקוז בדם ובתאים:

איבר תפקיד הגליקוגן
כבד שמירה על הומאוסטזיס - רמות גלוקוז יציבות בדם
שריר מקור אנרגיה מיידי לפעילות גופנית

גליקוגן = מחסן של גלוקוז בתאים


הבדל חשוב: גליקוגן מהתזונה לעומת גליקוגן תוך-תאי

glycogen fig1
מקור מסלול
תוך-תאי (גליקוגן) גליקוגן ← גלוקוז-1-פוספטגלוקוז-6-פוספט
תזונה (עמילן) עמילן ← (אלפא-אמילאז) ← גלוקוז ← גלוקוז-6-פוספט

נקודה חשובה למבחן: גלוקוז-1-פוספט מגיע רק מפירוק גליקוגן תוך-תאי, לא מהתזונה!


חלק א’: מבנה הגליקוגן

glycogen struct

מבנה כללי

הלב של כל מולקולת גליקוגן = חלבון גליקוגנין

מסביב לחלבון נקשרות מולקולות גלוקוז ויוצרות:

  • שרשראות ליניאריות (קשר α-1,4)
  • הסתעפויות (קשר α-1,6)

המבנה המסועף נותן שטח פנים גדול לאנזימים שמסנתזים או מפרקים.

ארגון פיזי - גרנולות

B chains
Beta granules (β-granules)
        ↓
   ~20 nm
   One or a few glycogen molecules
   ~50,000 glucose units
        ↓
Alpha granules (α-granules)
   200-300 glycogen molecules
   Central storage for homeostasis

חלק ב’: פירוק גליקוגן (Glycogenolysis)

שלושת האנזימים המעורבים

אנזים תפקיד תוצר
גליקוגן פוספורילאז חותך קשר α-1,4 גלוקוז-1-פוספט
דה-ברנצ’ינג אנזים מטפל בהסתעפויות גלוקוז חופשי + העברת שרשרת
פוספוגלוקומוטאז ממיר מבנה גלוקוז-6-פוספט

תהליך הפירוק

שלב 1: גליקוגן פוספורילאז

  • חותך מולקולות גלוקוז אחת אחת מהקצה הלא-מחזר
  • עוצר 4 יחידות לפני ההסתעפות
  • לא יכול לחתוך קשר α-1,6!
Glycogen phsphorylase
Glycogen chain (non-reducing end) ──→ Glucose-1-phosphate + shortened glycogen chain
                      (α-1,4 glycosidic bond cleaved)

שלב 2: דה-ברנצ’ינג אנזים (שתי פעילויות!)

פעילות 1 - טרנספראז:

  • לוקח 3 מולקולות גלוקוז מההסתעפות
  • מעביר אותן לשרשרת הראשית

פעילות 2 - גלוקוזידאז:

  • חותך את הגלוקוז האחרון (קשר α-1,6)
  • משחרר גלוקוז חופשי (לא גלוקוז-1-פוספט!)

למבחן: רוב הגלוקוז משתחרר כגלוקוז-1-פוספט, אבל יש גם שחרור של גלוקוז חופשי מההסתעפויות!

שלב 3: פוספוגלוקומוטאז (מוטאז)

גלוקוז-1-פוספט ──← גלוקוז-6-פוספט
  • מוטאז = שינוי מבני באותה מולקולה
  • מעביר את הפוספט מפחמן 1 לפחמן 6
  • עכשיו המולקולה יכולה להיכנס לגליקוליזה!

מה קורה בכבד לעומת בשריר?

בשריר - לגליקוליזה

השריר “חושב על עצמו” - צריך אנרגיה לפעילות

Glucose-6-phosphate ──→ Glycolysis ──→ ATP

בכבד - שחרור לדם

התהליך בכבד:

  1. גלוקוז-6-פוספט נכנס ל-ER דרך טרנספורטר
  2. גלוקוז-6-פוספטאז (קיים רק בכבד!) מסיר את הפוספט
  3. גלוקוז חופשי יוצא מה-ER לציטוזול
  4. יוצא לדם דרך GLUT2
Glucose-6-phosphate ──→ (ER) ──→ Glucose-6-phosphatase ──→ Glucose
                                                          ↓
                                                     GLUT2 ──→ Blood
Glycogenolysis in ER - Homeostasis

הכבד “חושב גלובלי” - שומר על רמות גלוקוז תקינות לכל הגוף


חלק ג’: סינתזה של גליקוגן (Glycogenesis)

UDP-גלוקוז - הסוכר הנוקלאוטידי

יצירת UDP-גלוקוז

Glucose ──→ Glucose-6-phosphate ──→ Glucose-1-phosphate
                                      ↓
                            UDP-glucose pyrophosphorylase
                                      ↓
                    UTP + Glucose-1-phosphate ──→ UDP-glucose + PPi

למה UDP-גלוקוז?

יתרון הסבר
בלתי הפיך הופך את התהליך לכיוון אחד
קבוצה עוזבת טובה UDP משתחרר בקלות
ספציפיות אתרי קישור ייחודיים לאנזימים

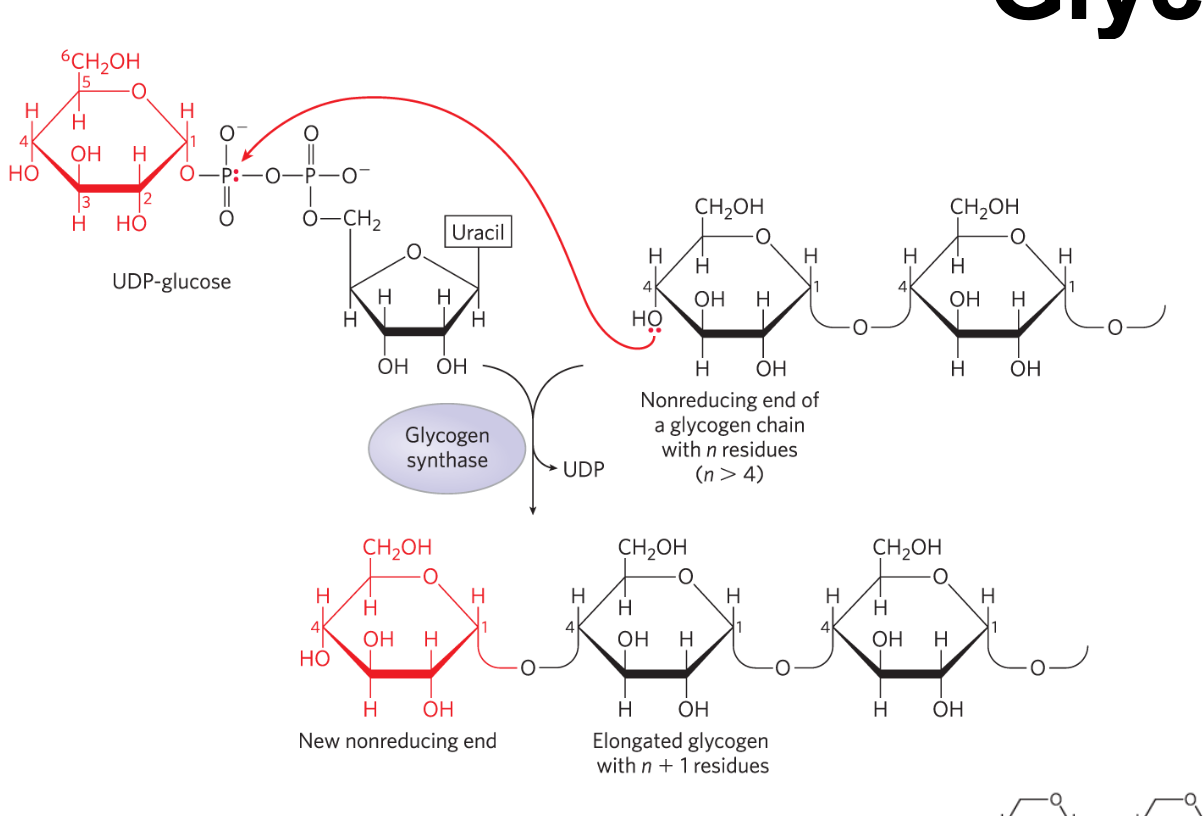
גליקוגן סינתאז

התפקיד: מוסיף מולקולות גלוקוז לשרשרת הגליקוגן

UDP-glucose + Glycogen chain ──→ Elongated glycogen chain + UDP
                                (α-1,4 bond)
  • יוצר רק קשרים α-1,4 (ליניאריים)
  • לא יכול להתחיל שרשרת חדשה מאפס!

גליקוגנין - הפריימר

שאלת מבחן נפוצה!

הבעיה: גליקוגן סינתאז לא יכול להתחיל סינתזה על חלבון גליקוגנין ישירות

הפתרון: גליקוגנין עושה אוטוקטליזה

התהליך

  1. גליקוגנין קושר UDP-גלוקוז לטירוזין 194
  2. מוסיף עוד מולקולות גלוקוז (אוטוקטליזה)
  3. אחרי 7~ מולקולות גלוקוז - גליקוגן סינתאז מתחיל לעבוד
glycogen synthase
Glycogenin ──→ Glycogenin + ~7 glucose units ──→ Glycogen synthase starts
            (autocatalysis)

Branching enzyme - יצירת הסתעפויות

התפקיד: יוצר קשרי α-1,6 (הסתעפויות)

התהליך

  1. מחכה לשרשרת של 11+ יחידות גלוקוז
  2. חותך קטע של 7~ גלוקוזים
  3. מעביר ויוצר קשר α-1,6 חדש
Linear chain (11+ glucose units)
        ↓
   Branching enzyme
        ↓
Chain with new α-1,6 branch

חלק ד’: רגולציה של מטבוליזם גליקוגן

עקרון מרכזי: פירוק וסינתזה הם תהליכים הפוכים שמווסתים בצורה הפוכה!

מצב פירוק סינתזה
רעב / מאמץ
שובע

רגולציה של גליקוגן פוספורילאז

שתי צורות של האנזים

צורה מצב פוספורילציה
פוספורילאז a פעיל + פוספט
פוספורילאז b פחות פעיל - פוספט

מנגנון ההפעלה (בשריר)

Epinephrine / Glucagon
        ↓
     GPCR ──→ cAMP
        ↓
       PKA (active)
        ↓
 Phosphorylase kinase (active)
        ↓
Phosphorylase b ──→ Phosphorylase a (active)
        ↓
   Glycogen breakdown ↑

מנגנון הכיבוי

PP1 (phosphatase)
        ↓
Phosphorylase a ──→ Phosphorylase b (less active)
        ↓
   Glycogen breakdown ↓

הבדלים בין שריר לכבד

בשריר

  • אדרנלין מפעיל את הפירוק
  • סידן ($\ce{Ca^{2+}}$) גם מפעיל (סימן לכיווץ שרירים!)
  • AMP מפעיל אלוסטרית (סימן לאנרגיה נמוכה)

בכבד

  • גלוקגון מפעיל את הפירוק
  • גלוקוז מעכב אלוסטרית (כשיש מספיק - לא צריך לפרק)
  • איזואנזים שונה עם אתר קישור לגלוקוז

בכבד: כשיש הרבה גלוקוז בדם, הוא נקשר ל-Glycogen Phosphorylase a (הצורה המזורחנת והפעילה).

הקישור הזה משנה את המבנה של האנזים כך שהפוספט “נגיש” יותר ל-PP1. ואז PP1 עושה דה-פוספורילציה (מסיר את הפוספט) וממיר את האנזים ל-Phosphorylase b - הצורה הלא-פעילה.

תוצאה: פירוק גליקוגן בכבד נחלש/נעצר כשגלוקוז גבוה.


רגולציה של גליקוגן סינתאז

שתי צורות של האנזים

צורה מצב פוספורילציה
סינתאז a פעיל - פוספט
סינתאז b פחות פעיל + פוספט

שימו לב! זה הפוך מפוספורילאז! פוספורילציה מכבה את הסינתאז

GSK-3 (Glycogen Synthase Kinase 3)

GSK3

התפקיד: עושה פוספורילציה (מכבה) את גליקוגן סינתאז

מנגנון פעולה מיוחד
  1. CKII (קזאין קינאז 2) עושה זרחון ראשוני (פוספורילציה ראשונית) (עמדה +4)
  2. זה יוצר אתר עיגון ל-GSK-3
  3. GSK-3 נקשר לגליקוגן סינתאז ועושה 3 פוספורילציות נוספות (עמדות 0, -4, -8)
  4. גליקוגן סינתאז נכבה
Synthase a (active)
      ↓ CKII (priming phosphorylation at +4)
      ↓ GSK-3 (3 additional phosphorylations)
Synthase b (inactive)

למבחן: GSK-3 לא יכול לעבוד ישירות על הסינתאז - צריך קודם פוספורילציה על ידי CKII!


איך אינסולין מפעיל סינתזה?

אינסולין פועל בשני כיוונים:

כיוון 1: הפעלת PP1

Insulin ──→ PP1 (active) ──→ Dephosphorylation of synthase ──→ Synthase active

כיוון 2: עיכוב GSK-3

Insulin ──→ PKB (active) ──→ Phosphorylation of GSK-3 ──→ GSK-3 inhibited

התוצאה: סינתאז נשאר פעיל ומסנתז גליקוגן!

phosphorylase b kinase

פסאודו-סובסטרט של GSK-3

מנגנון נוסף לכיבוי GSK-3:

  • PKA או PKB עושים פוספורילציה על הקצה ה-N-טרמינלי של GSK-3
  • זה גורם לאנזים “להיסגר על עצמו”
  • האתר הפעיל נחסם
  • נקרא פסאודו-סובסטרט - האנזים “חושב” שהוא קשור לסובסטרט

חלק ה’: חומצות אמינו שעוברות פוספורילציה

חשוב לדעת למבחן!

שלוש חומצות אמינו בלבד יכולות לעבור פוספורילציה:

חומצה קיצור
סרין (Serine) Ser, S
תראונין (Threonine) Thr, T
טירוזין (Tyrosine) Tyr, Y

מה משותף להן? כולן מכילות קבוצת $\ce{-OH}$ על השרשרת הצדדית


חלק ו’: סיכום פיזיולוגי

מצב שובע (אחרי ארוחה)

Glycogen breadown
Blood glucose ↑
      ↓
Insulin ↑
      ↓
┌───────────────────────────────────────┐
│                                       │
│ PP1 ↑ → Synthase active → Synthesis ↑ │
│                                       │
│  GSK-3 ↓ → Synthase remains active    │
│                                       │
│  Phosphorylase ↓ → Breakdown ↓        │
│                                       │
│  Glycolysis ↑ (glucose available)     │
│                                       │
└───────────────────────────────────────┘

תוצאה: מאגרים נבנים, גלוקוז מנוצל


מצב רעב / מאמץ

Blood glucose ↓
      ↓
Glucagon ↑ (liver) / Epinephrine ↑ (muscle)
      ↓
┌─────────────────────────────────────┐
│                                     │
│  cAMP ↑ → PKA ↑                     │
│                                     │
│  Phosphorylase kinase ↑             │
│                                     │
│  Phosphorylase ↑ → Glycogen breakdown ↑ │
│                                     │
│  Synthase ↓ → Synthesis ↓           │
│                                     │
│  Glycolysis ↑ (ATP needed!)         │
│                                     │
└─────────────────────────────────────┘

תוצאה: מאגרים מפורקים, אנרגיה מיוצרת


הבדל בין כבד לשריר

פרמטר כבד שריר
הורמון מפעיל גלוקגון אדרנלין
יש רצפטור לגלוקגון? כן לא
מטרת הפירוק שחרור גלוקוז לדם ייצור ATP מקומי
גלוקוז-6-פוספטאז יש אין
תפקיד הומאוסטזיס גלובלי צרכים מקומיים

שאלה לדוגמה (מהשיעור)

שאלה: במצבים שבהם רמות האנרגיה בתא נמוכות, קצב פירוק הגליקוגן עולה באופן משמעותי, כאשר רמות הגלוקוז בדם אינן משתנות. איזה גורם תוך-תאי אחראי להגברת הפעילות, בסבירות גבוהה.

אפשרויות:

  • א. עלייה ברמות AMP בתוך השריר
  • ב. עלייה ברמות גלוקוז חופשי בדם
  • ג. ירידה ברמת AMP
  • ד. עלייה ברמת גלוקוז-6-פוספט בשריר
פתרון

תשובה: א

הסבר:

  • AMP = סימן לאנרגיה נמוכה (ATP → ADP → AMP)
  • AMP מפעיל אלוסטרית את פוספורילאז בשריר
  • גלוקוז בדם לא משתנה ← לא ב’
  • ירידה ב-AMP תוריד פירוק ← לא ג’
  • עלייה בגלוקוז-6-פוספט תעכב ← לא ד’

מושגים מרכזיים

מושג הגדרה
גליקוגנוליזיס פירוק גליקוגן
גליקוגנזיס סינתזה של גליקוגן
גליקוליזה פירוק גלוקוז ליצירת ATP
גלוקונאוגנזה יצירת גלוקוז ממקורות לא-סוכריים
גליקוגנין חלבון הליבה של גליקוגן
גליקוגן פולימר מאגר של גלוקוז
גלוקגון הורמון שמעלה גלוקוז בדם

נקודות מפתח

  1. גלוקוז-1-פוספט = מפירוק גליקוגן תוך-תאי בלבד
  2. דה-ברנצ’ינג אנזים = שתי פעילויות (טרנספראז + גלוקוזידאז)
  3. גליקוגנין = פריימר, עושה אוטוקטליזה, 7 גלוקוזים לפני שסינתאז מתחיל
  4. GSK-3 = צריך פוספורילציה מקדימה על ידי CKII
  5. פוספורילציה: רק סרין, תראונין, טירוזין
  6. פוספורילאז: פוספט = פעיל
  7. סינתאז: פוספט = לא פעיל (הפוך!)
  8. כבד vs שריר: גלוקגון עובד רק בכבד
  9. AMP: מפעיל פוספורילאז בשריר (סימן לאנרגיה נמוכה)

שאלות מומצאות לתרגול

שאלה 1: גליקוגנין והתחלת סינתזה

גליקוגן סינתאז לא יכול להתחיל סינתזה של גליקוגן מאפס. כיצד נפתרת הבעיה הזו?

  1. גליקוגן סינתאז נקשר ישירות לחלבון גליקוגנין ומתחיל לעבוד.
  2. גליקוגנין עושה אוטוקטליזה ומוסיף כ-7 מולקולות גלוקוז, ורק אז גליקוגן סינתאז מתחיל לעבוד.
  3. Branching enzyme יוצר את השרשרת הראשונה וגליקוגן סינתאז ממשיך.
  4. UDP-גלוקוז נקשר ישירות לגליקוגנין ללא צורך באנזים.
פתרון

התשובה הנכונה היא (2).

הבעיה: גליקוגן סינתאז לא יכול להתחיל סינתזה על חלבון גליקוגנין ישירות - הוא יכול רק להאריך שרשרת קיימת.

הפתרון - גליקוגנין עושה אוטוקטליזה:

שלב מה קורה
1 גליקוגנין קושר UDP-גלוקוז לטירוזין 194
2 גליקוגנין מוסיף עוד מולקולות גלוקוז (אוטוקטליזה)
3 אחרי ~7 מולקולות גלוקוז - גליקוגן סינתאז מתחיל לעבוד
Glycogenin → Glycogenin + ~7 glucose → Glycogen synthase starts
           (autocatalysis)

למה זה חשוב?

  • גליקוגנין הוא ה”לב” של כל מולקולת גליקוגן
  • בלעדיו לא יכולה להתחיל סינתזה של גליקוגן חדש

שאלה 2: רגולציה הפוכה של פוספורילאז וסינתאז

מה ההבדל בהשפעת הפוספורילציה על גליקוגן פוספורילאז לעומת גליקוגן סינתאז?

  1. פוספורילציה מפעילה את שניהם.
  2. פוספורילציה מכבה את שניהם.
  3. פוספורילציה מפעילה את פוספורילאז ומכבה את סינתאז.
  4. פוספורילציה מכבה את פוספורילאז ומפעילה את סינתאז.
פתרון

התשובה הנכונה היא (3).

רגולציה הפוכה - עיקרון מרכזי!

אנזים + פוספט - פוספט
גליקוגן פוספורילאז פעיל (צורה a) פחות פעיל (צורה b)
גליקוגן סינתאז פחות פעיל (צורה b) פעיל (צורה a)

למה זה הגיוני פיזיולוגית?

במצב רעב/מאמץ:

  • גלוקגון/אדרנלין ← cAMP ← PKA
  • PKA עושה פוספורילציה
  • פוספורילאז נדלק (פירוק גליקוגן ↑)
  • סינתאז נכבה (סינתזה ↓)

במצב שובע:

  • אינסולין ← PP1
  • PP1 מסיר פוספט
  • פוספורילאז נכבה (פירוק ↓)
  • סינתאז נדלק (סינתזה ↑)

זה מבטיח שפירוק וסינתזה לא יקרו בו-זמנית!


שאלה 3: ההבדל בין כבד לשריר

מדוע גלוקוז שמשתחרר מגליקוגן בשריר לא יכול לצאת לדם, בעוד שבכבד הוא כן יכול?

  1. לשריר אין את הטרנספורטר GLUT2.
  2. לשריר אין את האנזים גלוקוז-6-פוספטאז, ולכן גלוקוז-6-פוספט לא יכול להפוך לגלוקוז חופשי.
  3. השריר צורך את כל הגלוקוז מיד ולכן לא נשאר עודף.
  4. גליקוגן פוספורילאז בשריר מייצר תוצר שונה מזה שבכבד.
פתרון

התשובה הנכונה היא (2).

ההבדל המרכזי: גלוקוז-6-פוספטאז

פרמטר כבד שריר
גלוקוז-6-פוספטאז יש אין
מטרת הפירוק שחרור גלוקוז לדם ייצור ATP מקומי
תפקיד הומאוסטזיס גלובלי צרכים מקומיים

מה קורה בכבד:

Glucose-6-phosphate → (ER) → Glucose-6-phosphatase → Glucose → GLUT2 → Blood

מה קורה בשריר:

Glucose-6-phosphate → Glycolysis → ATP
  • גלוקוז-6-פוספט לא יכול לצאת מהתא (יש לו מטען)
  • רק גלוקוז חופשי יכול לעבור דרך GLUT
  • בלי גלוקוז-6-פוספטאז ← אין גלוקוז חופשי ← אין יציאה לדם

המשמעות הפיזיולוגית:

  • הכבד “חושב גלובלי” - שומר על רמות גלוקוז לכל הגוף
  • השריר “חושב על עצמו” - משתמש בגליקוגן לאנרגיה מקומית
דור פסקל